Fiche : [DATA155]
Titre : T. LEQUEU, Projet 04 - TEMPO / Temporisation pour transformateur + sources 200V DC, Documentation technique, 23 août 2000.
Cité dans : [DATA076] T. LEQUEU, Documentations de maquettes électroniques, juillet 2023.Auteur : Thierry LEQUEU
Info : réalisation pour le Laboratoire de Microélectronique de Puissance
Date : 23 août 2000
Projet : LMP1
Révision : 1
Lien : TEMPO.pdf - 226 Ko, 8 pages.

Liste des documents | ![]() |
Lien : RAD4M-1.jpg - Figure 4.1. Aspect du dissipateur du 4M-1.
Lien : GBPC1510.gif - Figure 4.2. Courant moyen du GBPC1510.
Lien : GBPC1510.jpg - Figure 4.3. Redresseur GBPC 1510.
Lien : DELTRON.jpg - Figure 4.4. Boîtier DELTRON 200x120x282/250.
Lien : RED_I.jpg - Figure 4.5. Schéma du redresseur.
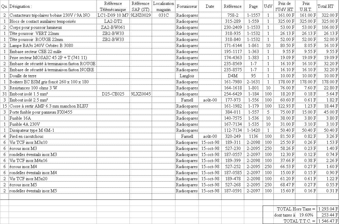
Lien : Lmp1pro4.jpg - Liste des composants, image, 387 Ko.
Lien : Lmp1pro5.jpg - Liste des composants, image, 387 Ko.
Lien : GBPC12.pdf - 4 pages, 71 Ko, pont redresseur, 50V à 1000V, 12 à 35 A.
Mise à jour le lundi 26 janvier 2026 à 18 h 37 - E-mail : thierry.lequeu@gmail.com
Cette page a été produite par le programme TXT2HTM.EXE, version 10.7.3 du 27 décembre 2018.
| Copyright 2026 : | ![]() |
Les informations contenues dans cette page sont à usage strict de Thierry LEQUEU et ne doivent pas être utilisées ou copiées par un tiers.
Powered by www.google.fr, www.e-kart.fr, l'atelier d'Aurélie - Coiffure mixte et barbier, Maelline Travel Planner - Organisatrices de voyage sur mesure, La Boutique Kit Elec Shop and www.lequeu.fr.